티스토리 뷰
Tree
Tree
[Tree의 특징]
1) 한 개 이상의 노드로 이루어진 유한 집합
- 루트(Root): 노드 중 최상위 노드
- 나머지 노드들: n(>=0) 개의 분리 집합 T1....Tn 으로 분리 될 수 있다.
2) 이들 T1...Tn 은 각각 하나의 트리가 되며(재귀적 정의) 루트의 서브 트리(Sub Tree) 라고 한다.
[Tree의 구성 요소]
1) 노드
- 트리의 원소
2) 간선
- 노드를 연결하는 선
- 부모 노드와 자식 노드를 연결
3) 차수
- 노드에 연결된 자식 노드의 수
- 트리의 차수: 트리에 있는 노드의 차수들 중 가장 큰 값
- 단말 노드(리프노드): 차수가 0인 노드, 자식 노드가 없는 노드
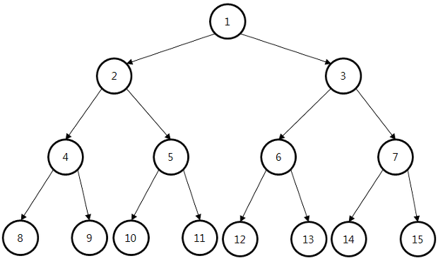
이진 트리(Binary Tree)
[Binary Tree의 특징]
1) 모든 노드들이 2개의 서브 트리를 갖는 특별한 형태의 트리
2) 노드가 자식 노드를 최대 2개까지만 가질 수 있는 트리
- 왼쪽 자식 노드(left child node)
- 오른쪽 자식 노드(right child node)
3) 레벨 L 에서의 노드의 최대 개수는 2^L 개
4) 높이가 h 인 이진 트리가 가질 수 있는 노드의 최소 개수는 (h+1) 개, 최대 개수는 2^(h+1) -1 개가 된다.

포화 이진 트리
모든 레벨의 노드가 포화 상태로 차 있는 트리
1) 최대의 노드 개수인 (2^(h+1)-1)의 노드를 가진 트리
2) 루트를 1번으로 하여 2^(h+1)-1 까지 정해진 위치에 대한 노드 번호를 갖는다.

완전 이진 트리
높이가 h 이고 노드 수가 n개 일 때 Full 이진 트리의 노드 번호 1번 부터 n 번까지 빈자리가 없는 이진 트리이다.

편향 이진 트리
높이 h에 대한 최소 개수의 노드를 가지면서 한쪽 방향의 자식 노드 만을 가진 이진 트리이다.

순회
트리의 각 노드를 중복되지 않게 전부 방문(visit) 하는 것을 순회 라고 한다.
[3가지의 순회 방법]

1) 전위 순회
- VLR
- 자손 노드보다 루트 노드 먼저 방문
2) 중위 순회
- LVR
- 왼쪽 자손, 루트, 오른쪽 자손 순으로 방문
3) 후위 순회
- LRV
- 루트 노드보다 자손 노드 먼저 방문
전위 순회
1) 현재 노드 n을 방문하여 처리: V
2) 현재 노드 n의 왼쪽 서브 트리 이동: L
3) 현재 노드 n의 오른쪽 서브 트리 이동: R
def preorder_traverse(T):
if T: # T is not None
visit(T) # print(T.item)
preorder_traverse(T.left)
preorder_traverse(T.right)
중위 순회
1) 현재 노드 n의 왼쪽 서브 트리로 이동: L
2) 현재 노드 n을 방문하여 처리: V
3) 현재 노드 n의 오른쪽 서브 트리로 이동: R
def inorder_traverse(T):
if T:
inorder_traverse(T.left)
visit(T) # print(T.item)
inorder_traverse(T.right)
후위 순회
1) 현재 노드 n의 왼쪽 서브 트리로 이동: L
2) 현재 노드 n의 오른쪽 서브 트리로 이동: R
3) 현재 노드 n을 방문하여 처리: V
def postorder_traverse(T):
if T:
postorder_traverse(T.left)
postorder_traverse(T.right)
visit(T) # print(T.item)
Expression Tree
List 또는 Linked List 를 이용하여 Tree 를 구현할 수 있다.
[노드 번호의 성질]
1) 노드 i 의 부모 노드 번호: i//2
2) 노드 i 의 왼쪽 자식 노드 번호: ix2
3) 노드 i의 오른쪽 자식 노드 번호: ix2+1
이진 탐색 트리(Binary Search Tree)
- 탐색 작업을 효율적으로 하기 위한 자료구조
- 모든 원소는 서로 다른 유일한 key를 가짐
- key(왼쪽 서브 트리) < key(루트 노드) < key(오른쪽 서브 트리)
- 왼쪽 서브 트리, 오른쪽 서브 트리도 이진 탐색 트리
- 중위 순회하면 오름 차순으로 정렬된 값을 얻을 수 있음
[탐색 연산]
1) 루트에서 시작
2) 탐색할 키 값 x를 루트 노드의 키 값과 비교
- 키 값 x == 루트 노드의 키 값:
원하는 원소를 찾았으므로 탐색 연산 성공
- 키 값 x < 루트 노드의 키 값:
루트 노드의 왼쪽 서브 트리에 대해 탐색 연산 수행
- 키 값 x > 루트 노드의 키 값:
루트 노드의 오른 쪽 서브 트리에 대해 탐색 연산 수행
3) 서브 트리에 대해서 순환적으로 탐색 연산을 반복
[삽입 연산]
1) 먼저 탐색 연산을 수행
- 삽입할 원소와 같은 원소가 트리에 있으면 삽입할 수 없으므로 같은 원소가 있는지 탐색하여 확인
- 탐색 시 탐색 실패가 결정되는 위치가 삽입 위치가 됨
2) 탐색 실패한 위치에 원소를 삽입
힙(Heap)
완전 이진 트리에 있는 노드 중에서 키 값이 가장 큰 노드나 가장 작은 노드를 찾기 위해서 만든 자료구조이다.
- 최대 힙(Max heap)
- 최소 힙(Min heap)
문1: subtree
from collections import defaultdict
def count_nodes(n):
global count
if len(tree_map[n]) == 0:
return
for item in tree_map[n]:
count_nodes(item)
count += len(tree_map[item])
T = int(input())
for test_case in range(1, T + 1):
e, n = map(int, input().split())
tree = list(map(int, input().split()))
tree_map = defaultdict(list)
for i in range(0, len(tree)-1, 2):
tree_map[tree[i]].append(tree[i+1])
# count 변수를 n과 n 자식 노드 수의 합으로 초기화 해준다.
count = len(tree_map[n]) + 1
count_nodes(n)
print(f'#{test_case} {count}')
문2: 이진탐색
def make_tree(n):
# 1~ n+1 까지 순회 하면서 위치를 찾아 넣어준다.
# binary_search_tree: left < 현재노드 <right
# 현재노드 : index , left : index*2, right: index*2 +1
# 중위 순회로 구현한다.
global number
if n < N + 1:
make_tree(2 * n)
tree[n] = number
number += 1
make_tree(2 * n + 1)
T = int(input())
for test_case in range(1, T + 1):
N = int(input())
tree = [0 for _ in range(N + 1)]
number = 1
make_tree(1)
print(f'#{test_case} {tree[1]} {tree[N // 2]}')
문3: 이진 힙
'''
heapify와 heappush 결과가 다를 수 있다는 점을
몰랐어서 잘못 된 풀이로 시간이 꽤 걸렸던 문제이다..
heapify는 리스트를 heap 구조로 바꿀 때 사용하는 함수인데
최소 값을 반환 하는데는 문제 없지만 heap 구조로 바꾼 상태에서 데이터를 가져와야하는 상황에서는
적합하지 않을 수 있다.
heappush를 한 경우와 결과 값이 다를 수 있다.
'''
T = int(input())
import heapq
for test_case in range(1, T + 1):
n = int(input())
num_list = list(map(int, input().split()))
heap_list = []
sum_nums = 0
for item in num_list:
heapq.heappush(heap_list, item)
heap_list = [0]+heap_list
while n > 0:
# 이진트리 부모 인덱스 = (자식노드 인덱스)//2
n = n//2
sum_nums += heap_list[n]
print(f'#{test_case} {sum_nums}')
문4: 노드의 합
T = int(input())
for test_case in range(1, T + 1):
n, m, l = map(int, input().split())
tree_list = [0 for _ in range(n+1)]
for _ in range(m):
index, data = map(int, input().split())
tree_list[index] = data
for i in range(n, 0, -1): # n~1 까지 -1 씩 감소하며 반복
if not tree_list[i]:
if i*2+1 > n:
tree_list[i] = tree_list[i*2]
continue
tree_list[i] = tree_list[i*2] + tree_list[i*2 + 1]
else:
continue
print(f'#{test_case} {tree_list[l]}')'Algorithm > 알고리즘' 카테고리의 다른 글
| [이진 탐색] 파라메트릭 서치(Parametric Search) (1) | 2022.11.12 |
|---|---|
| [SW Intermediate] Array 1 - 문제풀이 위주 (0) | 2022.10.25 |
| [SW Intermediate] Linked List - 활용 (1) | 2022.10.03 |
| [SW Intermediate] Linked List - 정렬 (0) | 2022.10.03 |
| [SW Intermediate] Linked List (0) | 2022.10.03 |
- Total
- Today
- Yesterday
- 자료구조
- 네트워크
- 보험
- SW
- 완전탐색
- 리스트2
- 파이썬
- CS.
- 리스트 복사
- 프로그래머스강의
- 이차 리스트
- 자바
- 자료구조와알고리즘 23강
- 데이터베이스
- 연결리스트활용
- 리스트함축
- 코드업 기초
- 정렬
- 프로세스 주소공간
- 운영체제
- 프로그래머스
- 스터디
- CS
- 알고리즘
- 이진탐색
- It
- 리스트
- CS 스터디
- Greedy sort
- https
| 일 | 월 | 화 | 수 | 목 | 금 | 토 |
|---|---|---|---|---|---|---|
| 1 | ||||||
| 2 | 3 | 4 | 5 | 6 | 7 | 8 |
| 9 | 10 | 11 | 12 | 13 | 14 | 15 |
| 16 | 17 | 18 | 19 | 20 | 21 | 22 |
| 23 | 24 | 25 | 26 | 27 | 28 | 29 |
| 30 |
